Đánh giá sai số trường trọng lực khi thay thế hàm dị thường trọng lực bằng các giá trị rời rạc
Khoa Trắc địa, Bản đồ và Thông tin địa lý, trường Đại học Tài nguyên và Môi trường TP.HCM
Email tác giả liên hệ: tuandm@hcmunre.edu.vn
Tóm tắt:
Việc thay thế hàm dị thường trọng lực trong các công thức Stokes và Vening-Meinesz bằng tập hợp các giá trị dị thường trọng lực được đo trên bề mặt vật lý trái đất hoặc trong không gian dẫn đến các sai số tất yếu khi tính dị thường độ cao và các thành phần góc lệch dây dọi. Mục đích của bài báo này là chỉ ra mối liên hệ giữa khoảng cách rời rạc của số liệu đo đạc và sai số dị thường trọng lực khi trường trọng lực được miêu tả bằng hàm Markov bậc 3 bằng phương pháp phân tích phổ của hàm số có tần số giới hạn, đó là hàm dị thường trọng lực.
Từ khóa: Stokes, Vening-Meinesz, trọng lực, tần số, mật độ phổ.
Ngày nhận bài: 05/05/2025 | Ngày sửa lại: 24/06/2025 | Ngày chấp nhận đăng: 26/06/2025 | Ngày xuất bản: 30/06/2025 |
Evaluation of gravity field error when replacing gravity anomaly function with discrete values
Đỗ Minh Tuấn
Department of Geodesy, Cartography and Geographic Information, University of Natural Resources and Environment Ho Chi Minh City
Email: tuandm@hcmunre.edu.vn
Abstract:
Replacing the gravity anomaly function in the Stokes and Vening-Meinesz formulas with a set of gravity anomalies measured on the physical surface of the earth or in space leads to inevitable errors in calculating the elevation anomalies and the plumb-line angle components. The purpose of this paper is to show the relationship between the discrete distance of the measurement data and the gravity anomaly error when the gravity field is described by a third-order Markov function by the method of spectral analysis of a function with a limiting frequency, that is, the gravity anomaly function.
Keywords: Stokes, Vening-Meinesz, anomaly, frequency, spectral density.
Submission received: 05/05/2025 | Revised: 24/06/2025 | Accepted:26/06/2025 | Published: 30/06/2025 |
1. Giới thiệu
Bài báo này là tiếp tục của bài báo với tên tương tự đã được đăng ở [1]. Ở đó nhóm tác giả đã đánh giá sai số dị thường trọng lực phụ thuộc vào mức độ rời rạc của số liệu đo đạc khi trường trọng lực được miêu tả bằng hàm Markov bậc 2. Vì vậy ở đây chúng tôi sẽ không đưa ra các diễn giải chi tiết mà chỉ nhắc lại các công thức chính, đọc giả quan tâm đến vấn đề này có thể tìm hiểu kỹ hơn ở [1]. Tóm lại, khi sử dụng kỹ thuật remove- restore, phần dư dị thường trọng lực ở vùng cục bộ có thể được coi là hàm số có tần số giới hạn, và đối với các hàm số này tồn tại định lý sau đây:
Định lý Kotelnikova. Giả sử hàm
là hàm số có các tần số giới hạn với các tần số biên và
. Khi đó hàm số này có thể được khôi phục đầy đủ bằng các giá trị rời rạc của nó tại các mắt lưới với bước dài theo trục tung
, thêm nữa [1]:
(1)
Thông thường công thức (1) còn được gọi là công thức nội suy Whittaker. Hàm giới hạn này
có mật độ phổ như sau:
(2)
Hoặc nếu chuyển sang tần số tuyến tính, ta có:
.png)
Trong đó:
tần số biên.
Khi đó, khoảng cách rời rạc sẽ được tính theo công thức sau:
.png)
Nếu trường trọng lực được miêu tả bằng hàm Markov bậc 2 như sau:
(4)
Mật độ phổ của trường trọng lực được tính theo công thức sau đây:
(5)
Khi đó sai số tương đối do số liệu rời rạc của dị thường trọng lực được đánh giá bằng công thức gần đúng sau đây
(6)
Nếu đặt , công thức (6) có thể viết như sau:
(7)
Trong đó: D: phương sai trường trọng lực;
r: khoảng cách giữa 2 điểm
Tham số
, còn
Theo công thức (7), giả sử trường trọng lực ban đầu được đặc trưng bởi phương sai D = 200 mgal2, nếu chấp nhận sai số do rời rạc bằng 2 mgal2 thì bước rời rạc phải bằng 2 km, còn nếu muốn sai số nhỏ hơn, khoảng 1 mgal2, thì bước rời rạc chỉ bằng 1 km.
Tuy nhiên trong thực tế, trường trọng lực không phải lúc nào cũng được miêu tả chính xác bằng hàm Markov bậc 2, hàm Markov bậc 2 thường thích hợp với địa hình miền núi, như trong các nghiên cứu ở [2] đã đưa ra kết luận rằng, hàm Markov bậc 3 thích hợp hơn cả cho các vùng lãnh thổ ở đồng bằng, ngoài biển, hoặc khi sử dụng dị thường trọng lực Buger. Trong khuôn khổ bài báo này chúng ta sẽ đánh giá nhiễu dị thường trọng lực được gây ra bởi số liệu rời rạc khi mô hình trường trọng lực được miêu tả bằng hàm Markov bậc 3, đồng thời đưa ra các đánh giá, so sánh giữa 2 mô hình với nhau.
2. Phương pháp
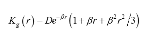
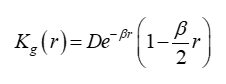
Tương tự như trong [1], giả sử trường trọng lực được miêu tả bằng hàm Markov bậc 3 dưới dạng:
(8)
Trong trường hợp này, để nhận được mật độ phổ của nó, tương tự như quá trình nhận công thức (3) ở [1], sẽ có dạng sau, theo tài liệu [3]
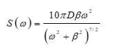
(9)
So sánh công thức (5) và (9) thấy rằng, mật độ phổ trong công thức (9)
giảm nhanh hơn nhiều so với mật độ phổ của công thức (5) lớn hơn so với công thức (4).
Mật độ phổ này trải đều trên các tần số, vì vậy hiệp phương sai sẽ được tính theo công thức sau đây Ventsel [5]:
(10)
Với
;
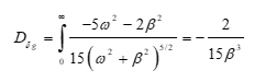
Tần số biên sẽ được chọn từ điều kiện, sao cho phương sai
có thể bỏ qua. Trong đó
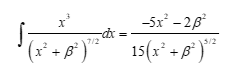
Theo Prudnikov [4] ta có:
(11)
Áp dụng vào tích phân (8), ta được:
(12)
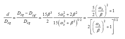
Nếu lập sai số tương đối giữa phương sai bị bỏ qua và phương sai trường trọng lực, ta có:
(13)
Trong công thức này:
(14)
Rõ ràng,
(15)
Giả sử đặt
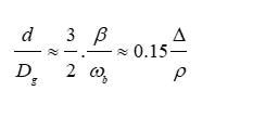
(16)
Công thức (16) trên cho thấy, giả sử trường trọng lực ban đầu được đặc trưng bởi phương sai D = 200 mgal2,
3. Kết quả và thảo luận
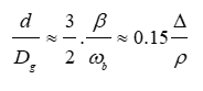
So sánh với công thức (7), khi trường trọng lực được miêu tả bằng hàm Markov bậc 2 có thể đưa ra kết luận rằng, trong trường hợp khi trường trọng lực mềm mại hơn thì bước rời rạc có thể thưa hơn mà không mất đi độ chính xác. Điều này rất quan trọng trong thực tế, bởi vì từ khía cạnh kinh tế không phải lúc nào cũng có thể đạt được mật độ các điểm trọng lực theo yêu cầu. Cần phải lưu ý rằng, công thức (16), cũng như công thức (7), được đưa ra trong nhiều giả thiết không tương ứng với thực tế của hàm dị thường trọng lực, cụ thể là:
- Tính toàn cầu của hàm dị thường trọng lực được thay thế bằng mô hình trọng trường trái đất (EGM 2008 hoặc mô hình khác nào đó tương đương), cho dù chuỗi này có chi tiết đến mức độ nào đi nữa, đại lượng (cấp bậc cao nhất của mô hình trọng trường trái đất) vẫn là hữu hạn. Tất cả các hệ số lớn hơn
- Đặt giả thiết hàm dư dị thường trọng lực là hàm số có tần số giới hạn như công thức (2). Tuy nhiên, trong thực tế, vấn đề xác định tham số (kích thước vùng gần) vẫn còn là đề tài nghiên cứu của nhiều nhà khoa học trên thế giới.
- Khi sử dụng công thức (9) để tính mật độ phổ và công thức (10) để tính phương sai phải chấp nhận giả thiết về hàm ngẫu nhiên không tương ứng với trường trọng lực thật. Cụ thể là hai công thức (9,10) chỉ đúng với hàm ngẫu nhiên đồng nhất, chỉ phụ thuộc vào thời gian. Hiển nhiên, hàm dư dị thường trọng lực không phải là hàm đồng nhất, như đã nêu ở công thức (16) trên.
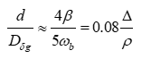
Chính vì các giả thiết vừa được liệt kê ở trên nên công thức (16) trong thực tế sẽ chặt chẽ hơn rất nhiều, ví dụ thay vì điều kiện
trong thực tế chúng ta sẽ phải lựa chọn bước rời rạc từ điều kiện
hoặc nhỏ hơn nữa.
Ở đây cần lưu ý rằng, bài báo này chỉ nghiên cứu nhiễu dị thường trọng lực khi sử dụng các giá trị rời rạc thay vào hàm dị thường trọng lực trong các công thức kinh điển Stokes và Vening-Meinesz, ở đây không xem xét ảnh hưởng của nó đến độ chính xác khi tính dị thường độ cao và góc lệch dây dọi, vấn đề trên sẽ là đề tài cho những bài báo tiếp theo. Việc lựa chọn hàm nào là hàm hiệp phương sai của trường trọng lực thật phụ thuộc vào nhiều yếu tố như loại dị thường trọng lực (dị thường trọng lực chân không, Buger, Fayer), địa hình (miền núi, đồng bằng, trên biển) [2], và như kết quả của nghiên cứu trong bài báo này hoặc trong [1], việc lựa chọn đúng hàm hiệp phương sai sẽ quyết định độ chính xác của của dị thường trọng lực khi thay thế hàm dị thường trọng lực bằng các số liệu rời rạc.
4. Kết luận
Như vậy, bằng phương pháp phân tích phổ của hàm số có tần số giới hạn như hàm dị thường trọng lực, chúng ta đã đưa ra được công thức (16), nó chỉ ra mối liên hệ giữa sai số do hiệu ứng rời rạc của số liệu ban đầu với khoảng cách giữa các mắt lưới và tính chất của trường trọng lực ở vùng nghiên cứu, khi trường trọng lực được miêu tả bằng hàm Markov bậc 3. So sánh với công thức (7), khi trường trọng lực được miêu tả bằng hàm Markov bậc 2 có thể đưa ra kết luận rằng, trong trường hợp khi trường trọng lực mềm mại hơn thì bước rời rạc có thể thưa hơn mà không mất đi độ chính xác.
Để đánh giá chính xác hơn nữa sai số dị thường trọng lực do sự rời rạc của số liệu có thể khảo sát thêm một số hàm hiệp phương sai khác như hàm Jordan, hàm Hirroven hoặc hàm hiệp phương sai toàn cầu.
Tài liệu tham khảo
[1] Vũ Xuân Cường, Đỗ Minh Tuấn, “Đánh giá sai số phương pháp tích phân số, áp dụng cho dữ liệu dị thường trọng lực quan sát rời rạc trên mặt đất”. Tạp chí Khoa học Đại học Cần Thơ, số tháng 10, 2017.
[2] Vassiliou A. A. And Schwarz K. P, Study of the high- frequency spectrum of the anomalous gravity potential, Journal of Geo.Research, vol. 92, No. B1, Pages 609-617, Jan. 10, 1987.
[3] Moritz, H., 1980, Advanced physical geodesy, Abacus Press, W. Germany, 500 pages.
[4] Prudnikov, A. P, Pruchkov, Ju. A, Marichev, O. I, 1981, Các tích phân và chuỗi, Tập 1: Các hàm cơ bản. NXB “Nauka”. Moscow, Russia, 752 trang. (Tiếng Nga).
[5] Ventsel, Е. S, 1969, Xuất bản lần 4, Lý thuyết sai số, NXB “Nauka”, Moscow, Russia, 576 trang. (Tiếng Nga).
| Article © 2024 by Magazine of Geodesy - Cartography is licensed under CC BY 4.0 |
|